揭东人民政府网站
无障碍版 网站支持ipv6
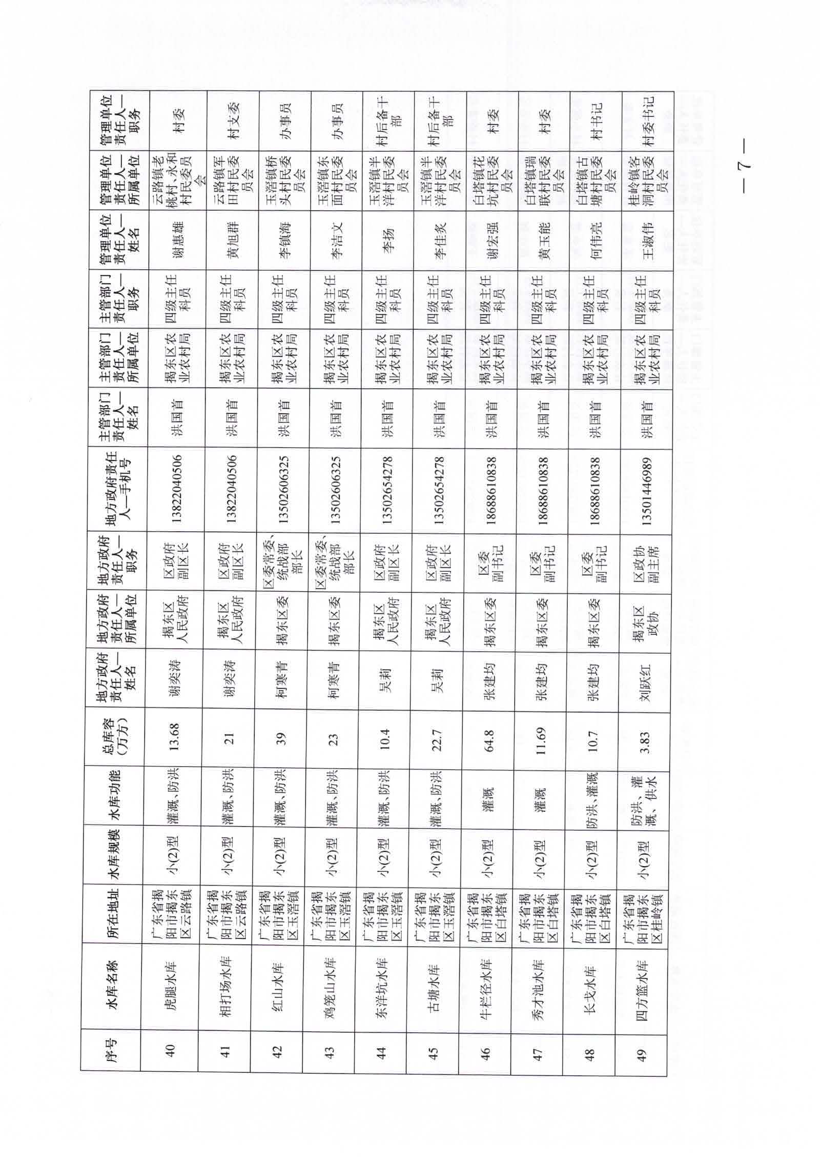
关于公布2026年度揭东区中小型水库大坝安全责任人及防汛“三个责任人”名单的通知
来源:建管股 发布时间:2026-04-08 10:03 浏览次数:- 【字体: 分享到:

以此件为准_页面_1_图像_0001.jpg以此件为准_页面_2_图像_0001.jpg关于公布2026年度揭东区中小型水库大坝安全责任人及防汛“三个责任人”名单的通知_页面_03_图像_0001.jpg关于公布2026年度揭东区中小型水库大坝安全责任人及防汛“三个责任人”名单的通知_页面_04_图像_0001.jpg关于公布2026年度揭东区中小型水库大坝安全责任人及防汛“三个责任人”名单的通知_页面_05_图像_0001.jpg关于公布2026年度揭东区中小型水库大坝安全责任人及防汛“三个责任人”名单的通知_页面_06_图像_0001.jpg关于公布2026年度揭东区中小型水库大坝安全责任人及防汛“三个责任人”名单的通知_页面_07_图像_0001.jpg关于公布2026年度揭东区中小型水库大坝安全责任人及防汛“三个责任人”名单的通知_页面_08_图像_0001.jpg关于公布2026年度揭东区中小型水库大坝安全责任人及防汛“三个责任人”名单的通知_页面_09_图像_0001.jpg关于公布2026年度揭东区中小型水库大坝安全责任人及防汛“三个责任人”名单的通知_页面_10_图像_0001.jpg关于公布2026年度揭东区中小型水库大坝安全责任人及防汛“三个责任人”名单的通知_页面_11_图像_0001.jpg关于公布2026年度揭东区中小型水库大坝安全责任人及防汛“三个责任人”名单的通知_页面_12_图像_0001.jpg关于公布2026年度揭东区中小型水库大坝安全责任人及防汛“三个责任人”名单的通知_页面_13_图像_0001.jpg关于公布2026年度揭东区中小型水库大坝安全责任人及防汛“三个责任人”名单的通知_页面_14_图像_0001.jpg关于公布2026年度揭东区中小型水库大坝安全责任人及防汛“三个责任人”名单的通知_页面_15_图像_0001.jpg

相关附件: